VOTE BOB RYAN
VOTE BOB RYAN
What Bob will do
Bartosiewicz
Brandes
News
Corruption Evidence
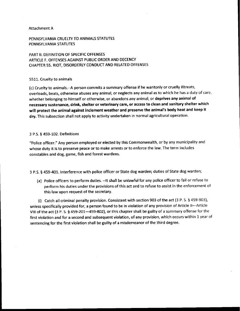
Brandes Dog Abuse Complaint
Brandes Dog Abuse Letters
Brandes Dog Abuse Invoices
Brandes Feb 29th? Nominating Petition
Brandes Feb 29? Challenge
Brandes uses borough bolicitor as private attorney
Brandes says “I can use borough lawyer, but you can’t” VIDEO
Brandes admits borough solicitor is her private lawyer VIDEO
Bartosiewicz theft of building supplies VIDEO
Bartosiewicz theft Nov. 13, 2019 borough meeting minutes
Bartosiewicz theft redacted solicitor invoices for $???
Bartosiewicz Theft costs even more… stenographer costs $625
Stinnett reviews solicitor invoices AUDIO
Stinnett is “Devious” - Morning Call January 3, WTF?
VOTE BOB RYAN
VOTE BOB RYAN
What Bob will do
Bartosiewicz
Brandes
News
Corruption Evidence
Brandes Dog Abuse Complaint
Brandes Dog Abuse Letters
Brandes Dog Abuse Invoices
Brandes Feb 29th? Nominating Petition
Brandes Feb 29? Challenge
Brandes uses borough bolicitor as private attorney
Brandes says “I can use borough lawyer, but you can’t” VIDEO
Brandes admits borough solicitor is her private lawyer VIDEO
Bartosiewicz theft of building supplies VIDEO
Bartosiewicz theft Nov. 13, 2019 borough meeting minutes
Bartosiewicz theft redacted solicitor invoices for $???
Bartosiewicz Theft costs even more… stenographer costs $625
Stinnett reviews solicitor invoices AUDIO
Stinnett is “Devious” - Morning Call January 3, WTF?
Brandes Dog Abuse Complaint